颜料红48:3_单偶氮锶盐色淀颜料PR48:3_锶红2B
- 名称:颜料红48:3
- 俗称:锶红2B
- 色相/色光:红色
- 化学类别:单偶氮锶盐色淀有机颜料
- 特点:优异的耐晒性和良好的耐热、耐碱、耐渗色性
- 应用:塑料、涂料、油墨、橡胶和文教用品等行业
- 更新日期:2024-12-17
- 点击索要样品 查询相关产品
马上拨打电话 400 006 1223 咨询
颜料红48:3_单偶氮锶盐色淀颜料PR48:3_锶红2B相关信息
颜料红48:3_单偶氮锶盐色淀有机颜料红P.R.48:3_锶红2B
化学性质与结构
- 索引号名称:颜料红48:3
- 英文名称:Pigment Red 48:3/P.R.48:3
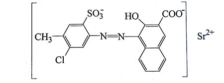
- 化学名称:4-[(5-氯-4-甲基-2-磺酰苯基)偶氮]-3-羟基-2-萘甲酸锶
- C.I.结构号:15865:3
- CAS登记号:15782-05-5
- EINECS号:239-879-2
- 分子式:C18H11ClN2O6SSr
- 分子量:506.44
- 分子结构图:

颜料红48:3物理性能:
| 产品外观形状 | 红色粉末 |
| 相对密度 | 1.61-1.90 |
| 堆积密度/(lb/gal) | 13.4-15.8 |
| 粒子形状 | 小薄片状 |
| pH值/(10%浆料) | 7.0-8.5 |
| 吸油量 | 43-50 |
| 遮盖力 | 半透明型 |

颜料红48:3合成方法:
- 首先将2B-酸钠盐溶于水中,经过滤和冷却后与亚硝酸钠溶液混合;
- 再将其放至盐酸水溶液中重氮化,稀释;
- 将2,3-酸溶于碳酸钠水溶液中,冷却;
- 将重氨液于液面下加入偶合、搅拌、加热、过滤;
- 将得到的膏状物悬浮于水中,调至pH值等于4.4~4.7左右,加入松香皂溶液加热至沸,加入氯化锶溶液中升温至沸,转变为锶盐色淀,最后经过滤、水洗、干燥得到颜料红48:3。
主要用途及特性:
颜料红48:3(Pigment Red 48:3)是一种红色的单偶氮锶盐色淀类有机颜料,俗称锶红2B,它的色光比C.I.颜料红48:1和48:4蓝光,比颜料红48:2黄光,具有良好的耐晒性、耐碱性、耐渗透性和耐热稳定性能,着色力高,主要用于塑料的着色应用,如:PVC,LDPE,PS,PUR,PP等,在软质PVC中耐光和耐迁移性很好,还可用于涂料和包装印墨等产品着色。

颜料红48:3代表产品
-
日本DIC颜料红SYMULER RED 3123易分散塑料颜料(颜料红48:3)
日本DIC迪爱生SYMULER RED 3123易分散塑料颜料是一种粉末状的黄光红色单偶氮色淀颜料,具有高着色力、高耐光耐候、易分散等优点,主要用于塑料着色(如...
-
巴斯夫K4165鲜红有机颜料Irgalite Scarlet K4165偶氮色淀颜料
巴斯夫K4165是一种半透明的红色单偶氮锶盐色淀有机颜料,颜料红48:3,饱和度高,颜色强度高,具有出色的分散性,在聚烯烃中具有优异的热稳定性,在HDPE高密度...
-
巴斯夫K4060FP/2BSP红薄膜用单偶氮色淀颜料
巴斯夫Irgalite Red K4060FP/2BSP是一款适用于薄膜制品的半透明中性红色单偶氮色淀颜料,具有高饱和度,高着色力和优良的色牢度性能,巴斯夫K4...
【返回上一页】
产品列表
相关产品
最新文章